王其英 現代數據中心網 前天
現在有很多場合持有“數據中心的用電設備是容性負載”說法非常多,不但一些知名專家,甚至包括一些權威機構。這樣一來使得人們陷入了一團雲霧當中。這對數據中心建設中的物理基礎設施規劃、設計和驗收起到了負面作用。到底孰對孰錯只有通過理論分析和實踐佐證才能說得清。實際上說到底還是一個基本概念的問題。現在就從基本概念入手進行討論。
王其英 現代數據中心網 前天
現在有很多場合持有“數據中心的用電設備是容性負載”說法非常多,不但一些知名專家,甚至包括一些權威機構。這樣一來使得人們陷入了一團雲霧當中。這對數據中心建設中的物理基礎設施規劃、設計和驗收起到了負面作用。到底孰對孰錯只有通過理論分析和實踐佐證才能說得清。實際上說到底還是一個基本概念的問題。現在就從基本概念入手進行討論。

一、數據中心用電設備的性質
數據中心的用電設備不外乎兩種:直流負載和交流負載。而直接的交流電阻負載諸如空調機的加熱棒、加濕器和各種設備的部分指示燈等,眾所周知壓縮機和伺服電機屬於感性負載範疇。
至於直流負載是通過整流濾波變換後供電的,那麼整流濾波電路是什麼負載性質呢?
一般電子設備都是將交流輸入整流濾波成直流供設備使用。如圖1(a) 所示就是包括IT在內的一般電子設備原理方框圖,一般電源在整流器前面都有一個低通濾波器,從圖中可以看到這個“∏”型濾波器輸入端十餘個電容器,有的就認為這就是電容性負載,其實不然,由於後面有電感和整流器,要綜合起來看才行。用圖1(b)來進行說明,從圖中可以看出交流正弦波被整流程正弦半波後經電容濾成直流電壓UC,這就出現了一個問題:如果沒有濾波電容器電流是一個正弦半波輸入,但有了電容器後輸入的正弦波電壓幅值必須大於UC才能有電流輸入電流,在這之前由於整流二極體是反壓而不通電流。因此在整個半波中可以允許通流的時間非常短,恰恰要求在這有限短的時間內輸入電流的總值要等於原來正弦半波電流的面積,所以這個電流脈衝就非常高.一般說這個脈衝電流的通導時間不大於30°也就是說這個時間僅僅是半波180°的六分之一,如果負載要求的平均工作電流是100A,那麼這個脈衝至少給出600A.這600A在電源內阻上的壓降將不能忽略,只輸入電壓在峰值區不但達不到最大值而且變小了,這就是正弦電壓峰值失真成平頂或凹陷的原因。如圖1(b)上中下三圖對應的情況。
圖1 包括UPS在內的電子設備原理及波形
這是如果將雙蹤示波器接在濾波器的輸入端就可以看到電壓是失真的正弦波,而電流是脈衝波。電阻和電容類線性負載電流和電壓都是不失真的正弦波,而這裡的兩個波形都是失真波,但只有感性負載才可以使波形失真。所以整流濾波電路是感性負載……對單相電壓220V的整流器輸入功率因數是0.6 ,三相整流濾波電路的輸入功率因數在-0.8左右。
二、UPS輸出端的部分電容器是為補償感性負載的無功功率而設置的
(一)為什麼負載端需要無功功率補償
因為在上世紀60年代以前電子設備非常少,大部分是照明燈、加熱器、加工機械和其它伺服設備,所以從電網向負載端看去都顯示為電感性質,其輸入功率因數大約為—0.8。感性負載無功功率的存在是使用者的輸入電壓明顯下降,這不但影響了電網的供電容量也使用電者得不到需要的足夠電能,造成了雙方損失的局面。
圖2(a)示出了一般市電的供電路徑情況略圖,從圖中可以看出當負載為線性時如電爐子和白熾燈等,這些負載直接將市電輸送的有功功率全部吸收了。但由於出現了無功功率的需要,真正做功部分的功率被無功器件分去了一部分,如圖(b)所示在這個向量圖中負載上得到的本來應該是P=S,但由於QL的出現只好被分區一部分。下邊用一個例子來說明。
圖2 一般市電的供電路徑情況略圖
例1: 帶電感負載的情況
一個輸入功率因數為1的線性設備(比如一台電加熱器)需要100kW做功功率,由於設計者的失誤,設備的更新輸入功率仍然按照100kW設計,但因為加入了電子電路等控制環節,使得設備的輸入功率因數變成了F—0.8。這樣一來供電局給出的100kW就分成了兩部分:有功功率p和無功功率Q。因為在規定100kW輸入功率的情況下輸入功率因數變成了F=-0.8,那麼市電提供的無功功率QL應該是:
這樣一來留給做功的有功功率就不是100kW而是:
問題是市電並不因為設計者的錯誤而只提供100kW,由於負載阻抗的需要還必須提供100kW和60kVAr,即:
這種情況下超載17%,這將會導致輸入斷路器溫度跳閘。
為解決這個問題就利用了電容和電感可以互補的原理在市電用戶輸入端加裝了電容補償櫃C,如圖3(a)所示,在完全匹配時,市電仍輸入100kW的情況下就可以使做功端。得到足量的100kW。這從圖3(b)的向量圖就可以看出當QC=QL時上下互相抵消,就會p=P=100kW。既然這樣就可以解決問題所以這個方法得到了廣泛地認可,在市電用戶端安裝電容補償櫃也就成為了通用標準。
圖3 無功補償原理和向量圖
隨著電子技術的發展和電子用電設備的增加,而電子設備電源又都是呈電感性的整流濾波電路,所以供電設備也就也就將這個補償電容器放在了電源輸出端,比如目前的發電機和UPS等。由於用戶端的電容補償櫃很難掌握下端的用電情況,所以電容量不好選擇,為了解決這個問題不得不將容量分成幾段用開關控制,根據當前的用電情況通過開關加減電容量。而電源設備就方便多了,它可以根據本設備提供功率和用電負載的性質規定一個功率因數,設計時就可以根據這兩個指標選擇補償電容器的容量。
比如一台為功率因數FL=的S=400kVA用電設備供電,這時該設備可以提供的有功功率P和無功功率Q分別為:
以上是3相數值,分到每一相應該
選擇每一相的補償電容量C1:
式中是市電電壓U=220V,f是市電頻率50Hz,是圓周率常數。
當然計算出的電容器的容量並不大,但不能用一隻電池,其原因是此時的容抗
此時的無功電流IC是:
這樣大的電流對於任何單只電池都無法承受的,所以要根據單只電池的電流耐受能力採用多隻電池組合,這就是為什麼電源輸出端有很多電池的原因。
例2:帶電容負載的情況
一個輸入功率因數為Fc=+0.8的線性設備需要100kVA做功功率,仍選擇100kVA的負載功率因數F= - 0.8的UPS,按照以前的計算該UPS可輸出的有功功率P和無功功率Qo是:
PO=80kW QO=+60kVAr而負載的需要也是:PR=80kW QR=+60kVAr
在這裡順便說一下,在不考慮超載能力的前提下負載功率因數F= - 0.8的100kVA UPS逆變器是按功率因數選擇功率管的,在這種情況下逆變器功率管按80kW選器件,因為在與負載全匹配(補償)的情況下無功電流不通過逆變器,這從圖3(a)看得明白。
從圖4可以看出電源的容性無功功率+60kVAr輸出和負載端的容性無功功率+60kVAr很明顯就不是互補關係了,而是直接相加。這樣一來兩個容性無功功率相加後就成了電源的負載,換言之,逆變器的輸出功率要分配到兩個電容和一個電阻上,但真正做功的是線性部分R。但這時逆變器輸出功率80kW減去兩隻電容上的無功功率還能留給R多少有功功率功率呢POO?
將上述數值帶入此式後:,這是個虛數,就是說電源給不出這麼多的功率。如果滿足上述要求需要多大的逆變器功率P?
帶入數值後得: P»144(kW)
圖4 電源設備(供電端)帶容性負載情況原理圖
在這種情況下原來80 kW的逆變器必須增加到144 kW才可滿足上述容性負載要求,換言之,比原來的容量多了64 kW,即超載80%!可能有的會說:這不正好證明了發電機不能帶容性負載的道理嗎!是的,發電機是不能帶容性負載,但上面已經說明負載都是感性的!這不矛盾了嗎?但有一個事實應該注意,也就是說發電機不是今天才用到數據中心機房設備的,為什麼以前就能帶所謂“容性負載”而今天又不能帶了呢?在十年前就有人說電腦是容性負載呀!這不是前後矛盾嗎!
例3: 帶電阻(線性)負載時的情況
但有一件事情應該注意到,在2005年以前的電腦(伺服器)等用市電220V整流濾波供電設備的輸入功率因數是-0.6~-0.7,是典型的感性負載;2005年以後所有這些設備的輸入功率因數都都向著1補償,最低不能低於-0.95。這就使得原來指標的供電設備面臨一個嚴峻的考驗:根據以前經驗選擇的供電設備容量不夠用了。圖5表示的是供電設備(電源)帶線性負載的原理圖。圖中負載端的電感L(虛線所示)已微乎其微,所以在工程上就認為這個-0.95以上的功率因數為1,原因是由於補償器件的精度有一個範圍,其補償的結果從-0.95開始往上有-0.96,-0.97,-0.98,-0.99一直到1,每個設備不上的結果都不一樣,所以認為是1對用戶來說是有好處的。所以目前的電子負載幾乎都進入了線性範疇。為了計算方便先設負載就是線性,至於-0.95的情況下面單獨討論。這裡仍以100kVA容量為例。
圖5 供電設備(電源)帶線性負載的原理圖
一個輸入功率因數為Fc =1的線性設備需要100kVA做功功率,仍選擇所謂的100kVA負載功率因數F= - 0.8的UPS供電,按照以前的計算該UPS可輸出的有功功率P和無功功率Qo是:
PO=80kW QO=+60kVAr而按照匹配負載的需要也是:PR=80kW,但 QR=0kVAr。
從圖4中可以看出原來UPS輸出端無功功率QO=+60kVAr的補償物件沒有了,因此這個QO=+60kVAr成了UPS的負載,因為這個電容的感抗XO根據前面的計算公式就等於:
就是說UPS輸出由於失去了負載端的補償物件,它必須首先要在本身這0.81Ω上建立起220V電壓,這個電流IOC是:
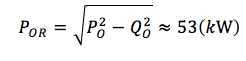
在匹配負載時這個電流是不通過逆變器的,但此時必須由逆變器提供,換言之這60kVAr的無功功率要從逆變器的功率中提取,此時逆變器能夠為負載提供的有功功率POR根據勾股弦定律公式代入數據後:
從這個結果可以看出負載功率因數為的電源(包括發電機)再帶線性負載時只能給出一半的有功功率。但值得注意的是當這種電源供電時,並不因為給出上述的結果就停止了,只要負載不斷開它就繼續超載供電,一直到達到負載的要求為止,很明顯已經超載了,超載量DP是多少?
這要首先看一看在滿足負載要求時逆變功率PM是多少?
因為按照額定電源功率對負載要求的做功功率應是:PR=80kW,這時逆變器功率PM應該是:
超載25%。這種超載情況不會導致馬上電源關機,但由於電源具有一定的超載能力堅持時間,終究要關機的,這是指具有自動超載關機能力的情況下。然而問題是沒有這麼簡單,如圖4所示是一般UPS結構原理方框圖。從圖中可以看出,UPS的面板顯示的輸出電流和功率測量點都接在了設備輸出端,在這裡測量的只是負載端的情況,流入電容的無功電流IC並沒有測量到。也就是說在這裡只能測量到POR。這樣一來負載功率因數為-0.8的100kVA容量UPS逆變器滿負荷時輸出只有53kW,在測量表的顯示帶載率也就是53%,離100%還差很遠,於是輸出電流感測器電路像控制器送去繼續索取功率的信號,於是測量與控制器電路就控制已經滿負荷的逆變器繼續輸出功率,一直到逆變器功率管燒毀為止。
北京某政府機關數據機房測得實際用電量不足40kW,於是就購買了一個品牌的模組化UPS,一共6個10kVA模組,該模組的負載功率因數為-0.8,裝機運行後不到半年6個模組陸續全部燒毀。這時LCD上顯示帶載率只有70%多,按照53kW逆變器滿載計算那就是已經超載20%了。是這樣長期超載的結果就使得模組陸續燒毀。蘇州某銀行100kVA高頻機UPS輸入功率因數為0.999,按照1:1配備了一台100kVA發電機,載入測試到70%負載時發電機輸出跳閘。
圖6 UPS結構原理方框圖
從上面的討論可以看出有的地方說發電機帶不動容性負載實際上是誤把線性負載當成了容性負載。
(二)為什麼實測負載是容性結果
既然數據中心的用電設備都是電感性的,那為什麼用功率因數表測出是電容性的呢?難道功率因數表是騙人的嗎?不是功率因數表騙人而是基本概念在騙人。下面有兩個問題應該容易回答。
問題1:請問用戶有一個功率因數為-0.8,功率為400kVA的負載應配多大的UPS?有幾個使用者敢於大膽配置1:1容量的UPS?至少要配置500kVA的功率因數為-0.8的UPS。那麼500kVA的UPS可給出有功功率P500和無功功率Q500的匹配功率為:
P500=500kVA✕0.8=400kW,Q500=500kVA✕(+0.6)=+300kVAr
400kVA負載需要的有功功率P400和無功功率Q400為:
P400=400kVA✕0.8=320kW,Q400=400kVA✕(0.6)=240kVAr
二者補償結果 DQ=300kVAr 240kVAr = 60kVAr 是容性的,當然用功率因數表測出是電容性的。
問題2:前面已經介紹當今的IT設備輸入功率因數控制在- 0.95~1,以最低值-0.95為例,假如負載要求400kVA的高頻機UPS,現在一般高頻機的負載功率因數為,這時高頻機輸出的無功功率QH和負載需要的無功功率QL分別為:
二者補償結果 DQ=174kVAr -125 kVAr =49 kVAr 也是容性的,當然用功率因數表測出也是電容性的。
顯示容性稱為過補償。在這裡的過補償不會導致什麼嚴重後果;而如果在市電的用戶輸入端電容補償櫃過補償會導致電壓升高。所以電容補償櫃裡面的補償電容器是分組的,通過開關控制每組投入的時機。
如果按照有些"負載是容性"的說法,市電電容補償櫃就應該改成電感補償櫃了。